合作客戶/
拜耳公司 |
同濟大學 |
聯合大學 |
美國保潔 |
美國強生 |
瑞士羅氏 |
相關新聞Info
-
> 界面張力儀在材料制備過程中起到哪些作用
> 基于界面張力弛豫法考察羥基取代烷基苯磺酸鹽的界面擴張流變性質(三)
> 我國陶瓷墨水生產企業基本狀況以及國產墨水與進口墨水性能的比較
> 過硫酸鉀、K2S2O8對壓裂液破膠性能與表面張力的影響——實驗部分
> ?2,3-雙八氟戊烷基甘油醚-1-硫酸酯鈉的合成路線、表面張力及乳化性能(二)
> 電噴霧質譜離子源技術優化策略:降低外鞘液表面張力,加速液滴溶劑蒸發
> 水面上單分子層膜通過磷脂光控開關實現可逆光學控制——結論、致謝!
> 水面上單分子層膜通過磷脂光控開關實現可逆光學控制——結果與討論
> 基于脈沖焊接研究表面張力活性元素對Marangoni力的影響
> 不同溫度對氫氟醚HFE7000、HFE7200表面張力和黏度影響(一)
推薦新聞Info
-
> 表面張力對機械結合面接觸載荷、真實接觸面積以及接觸剛度的影響規律(四)
> 表面張力對機械結合面接觸載荷、真實接觸面積以及接觸剛度的影響規律(三)
> 表面張力對機械結合面接觸載荷、真實接觸面積以及接觸剛度的影響規律(二)
> 表面張力對機械結合面接觸載荷、真實接觸面積以及接觸剛度的影響規律(一)
> 一種改進的CSF模型:用于SPH流體仿真的光滑表面張力模擬(二)
> 一種改進的CSF模型:用于SPH流體仿真的光滑表面張力模擬(一)
> 減弱賈敏效應的方法|表面活性劑改善賈敏效應實驗
> 賈敏效應實驗方法與步驟、結果
> 賈敏效應機理、影響因素及其在低滲透油藏開發中的危害(一)
> 面向高效環保滅火劑的界面張力最小化:短鏈氟碳復配體系的設計與解析(四)
溫度、鹽對辛基酚聚氧乙烯醚磺酸鹽的油-水界面行為的影響(二)
來源:化工學報 瀏覽 1185 次 發布時間:2024-11-07
2模擬結果與分析
2.1界面性能
為考察OPES的界面行為及性能進行了8組對比模擬實驗,分別記作S20、S50、S80、S100、S120、S140、S160、S180,即通過改變表面活性劑的數量對比各個體系的各相密度、界面寬度、界面張力以及界面聚集形態等界面行為,得出OPES表面活性劑濃度對界面行為的影響以及變化趨勢等結論。
對比模擬實驗均在由500個癸烷分子、5000個水分子構成的油-水界面以及溫度為318 K的條件下進行。所有體系在平衡后表面活性劑的親水基插入水相,親油基插入油相并且形成非常穩定的界面。當表面活性劑濃度不斷增加(從S20到S160)時由于單個表面活性劑分子的占有面積逐漸減少,分子的排列呈由分散變為緊湊的趨勢。但當表面活性劑數量增大到180時,部分分子開始脫離原來平面,此時表面活性劑濃度已達到飽和狀態。這一過程的界面張力變化如表1所示。
疏水尾鏈碳原子序參數(order parameter,SCD)可以用來表示疏水尾鏈的有序性
SCD可用式(1)來計算,θ代表Cn1-和Cn1+原子之間向量與界面垂直方向的角度。圖3所示為上述8個體系的序參數曲線,對于每一條序參數曲線都隨著碳原子序號的增加序參數逐漸增大,這說明了疏水鏈末端的碳原子有序性更強。從圖中還可以觀察到S20的曲線幾乎水平,這是由于OPES在界面的濃度過低其分子可以自由擺動。當表面活性劑的數量從20增加到180時,SCD曲線不斷上升,這說明隨著表面活性劑數量的增加疏水鏈排列的有序性也在不斷增強。并且S160和S180的序參數曲線相當接近,這表明此時表面活性劑的濃度已經達到界面的飽和濃度。
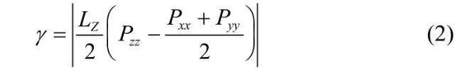
對于表面活性劑來說降低界面張力的能力是考察其性能好壞的重要指標之一,下面通過考察不同體系的界面張力和界面寬度來進一步說明OPES的界面性能,如表1所示。對于界面張力可以利用式(2)來計算,其中LZ為盒子高度;Pxx、Pyy、Pzz分別為x、y、z方向的壓力。
表1不同表面活性劑濃度下體系界面張力和界面寬度
從表1可以發現表面活性劑數量的增加使得界面張力逐漸下降。其中當OPES數量由20增加到80時,界面張力值較高,這說明當表面活性劑濃度較低時并不能起到很好的降低界面張力的作用;隨著表面活性劑數量進一步增加界面張力逐漸下降,當OPES數量為180時,達到臨界飽和狀態,此時界面張力僅為3.85 mN·m-1,此變化規律與真實實驗規律相同。這同時也說明辛基酚聚氧乙烯醚磺酸鹽可以很好地降低界面張力,是一種性能優良的表面活性劑。界面寬度用體系密度圖中表面活性劑的密度曲線寬度來表示。隨著表面活性劑個數增加界面寬度遞增,起初界面寬度增加速度較快是因為界面OPES濃度過低并未飽和;當OPES數量達到100~140時,界面寬度僅有少量緩慢增加這是由于此時界面正在逐漸接近飽和狀態。隨著OPES的數量達到160和180時,界面寬度增加幅度變大,進一步驗證此時界面已達到飽和狀態。
本文提取體系穩定的S80、S120進行分析,兩個體系的各部分密度圖如圖4所示。在平衡狀態下兩體系中水的平均密度分別為989.86 kg·m-3、992.43 kg·m-3,與國際溫標318 K時水密度990.2 kg·m-3值接近;另外,兩體系中癸烷平均密度為711.49 kg·m-3、710.72 kg·m-3,與真實狀況下癸烷密度711.2 kg·m-3值接近,這表明模擬體系的模型選擇、力場參數都是準確的,可以得出可靠結論。
在OPES結構中,有兩個親水基團分別為氧乙烯基(OG)、磺酸基(SDMSO),本文通過徑向分布函數(通常指的是給定某個粒子的坐標,其他粒子在空間的分布概率)來對比兩者與水之間的作用力。圖5為表面活性劑中氧乙烯基和磺酸基與水分子中氫原子的徑向分布函數、。由圖可知,(r)曲線第1個峰值出現在0.306處,這表明磺酸基中的氧原子與水g中的氫原子之間較強的氫鍵作用形成了第1水層;在距離為0.458時,出現第2個峰值,數值有所下降,這表示逐漸減小的氫鍵作用形成了第2水層;第3水層形成在0.688處,此時磺酸基與水的作用進一步減弱,但3處的峰值均遠大于氧乙烯基的峰值。這表明磺酸基與水分子的作用力遠高于氧乙烯基,所以磺酸基為辛基酚聚氧乙烯醚磺酸鹽結構中的主要親水基團。
圖4 S80、S120平衡狀態下各部分密度分布
圖5 S80中表面活性劑中親水基團與水中氫原子之間的徑向分布函數
2.由于采油環境日益嚴苛,一些表面活性劑在高溫條件下與水之間的氫鍵易斷裂,使得其親水性能大幅降低,因此抗高溫性能是考察表面活性劑好壞的重要指標之一。
本文選取4組對比模擬實驗,保持表面活性劑數量為80不變,控制溫度分別為318、343、358、373 K,記作S80T318、S80T343、S80T358、S80T373。
表2通過界面張力、表面活性劑與水的氫鍵數量、勢能3組數據對比得出表面活性劑的界面張力隨著溫度升高而降低的結論。數據表明在4組模擬實驗過程中,界面的寬度并沒有發生改變。因此界面張力下降的主要原因是由于OPES勢能的降低導致分子之間的作用力也隨之降低。
2溫度對癸烷+水+OPES體系油-水界面張力的影響
另一個值得注意的改變是雖然隨著溫度的升高OPES與水之間的氫鍵有微量的下降但并沒有達到濁點,況且磺酸基具有良好的親水性,因此,OPES并沒有因為溫度升高而失效,反而能提高其在油-水界面的性能。
表2不同溫度下各體系的界面性能
2.3鹽對癸烷+水+OPES體系油-水界面張力的影響
大量數據表明,在高鹽油藏表面活性劑的化學穩定性易受到影響,其結構可能受到改變或破壞進而影響石油采收率。石油磺酸鹽、烷基苯磺酸鹽等表面活性劑在高鹽度的環境下極易失去活性。因此,表面活性劑是否具有良好的抗鹽性能顯得尤為重要。對于辛基酚聚氧乙烯醚磺酸鹽從結構上來說其具有的磺酸基結構應使其有良好的耐鹽性能。
本文選取5組對比模擬實驗,保持OPES數量為80、溫度為318 K不變,分別向體系內加入1%、2%、3%、4%、5%的NaCl溶液,記作S80Na1、S80Na2、S80Na、S80Na4、S80Na5。圖6所示為S80Na2體系在平衡狀態下界面狀態,其中藍色小球為Na+。Na+幾乎全部分散于水相中,在表面活性劑附近的分布很少,因此可以初步確定鹽對表面活性劑的影響較小,辛基酚聚氧乙烯醚磺酸鹽具有抗鹽性。
為進一步確定OPES的耐鹽性能,可以再通過不同體系平衡狀態時相應的界面張力和氫鍵數量來討論,相關數據如表3所示。
表3不同濃度Na+溶液體系界面張力以及OPES與H2O的氫鍵數量
模擬數據顯示,隨著NaCl濃度的升高,表面活性劑在油水界面的界面張力僅有小幅升高,這是由于體系中不斷加入NaCl使得OPES更加親油,使得部分表面活性劑分子向油相中躍遷。另外,氫鍵數量有少量下降這是由于在體系不斷添加Na+、Cl-過程中,替換了水相中的水分子使得水分子數量減少從而影響了氫鍵數量。
圖7中顯示了在不同NaCl濃度的體系中,磺酸基中的氧原子與水中氫原子的徑向分布gOS-HW(r),可以看出其峰值并沒有因為NaCl濃度的增加而發生很大改變,這更能說明陽離子并不能對表面活性劑的性能造成影響。
圖7在不同Na+濃度體系中磺酸基中的氧原子與水中氫原子的徑向分布函數
下面同樣通過疏水鏈碳原子序參數的變化來進一步驗證OPES的抗鹽性。從圖8中可以看出,在同一體系中隨著碳原子的增加序參數值增大,這說明越接近疏水尾鏈的末端的碳原子有序性越好。同時,對于NaCl濃度為1%、3%、4%、5%的體系,疏水尾鏈碳原子的序參數并未發生太大改變,NaCl濃度為2%時其序參數值還要大于1%時的序參數值,這說明在濃度為2%的NaCl溶液中疏水鏈碳原子間的相互作用力最強。
提取2%NaCl濃度時體系的疏水尾鏈碳原子序參數與同濃度的CaCl2體系進行對比,對比結果如圖9所示。在CaCl2溶液中疏水鏈碳原子的SCD值明顯高于無鹽溶液以及2%的NaCl溶液中的SCD值,因此,在Ca2+的環境下碳原子的擺動空間與靈活性要小于在Na+的環境中。
圖8不同Na+濃度下疏水尾鏈碳原子序參數
圖9在不同離子溶液中疏水鏈碳原子的序參數
圖10中曲線分別代表在2%NaCl溶液、2%CaCl2溶液中磺酸基中的氧原子與水中氫原子之間的徑向分布函數,如圖所示兩條曲線的峰值并未有太大差別,這說明OPES對Na+、Ca2+都有很好的抗鹽性。
進一步分析OPES對Na+、Ca2+抗鹽性的差別,考察了磺酸基中的氧原子與Na+、Ca2+的徑向分布函數,如圖11所示。圖中兩曲線的峰值出現較大差距,其中Na+曲線的峰值明顯小于Ca2+曲線的峰值,這表明親水基團與Na+的作用較小,也就是說Na+對OPES的性質影響較小。因此,辛基酚聚氧乙烯醚磺酸鹽的抗鹽性順序為Na+>Ca2+,與對序參數所做的分析結論相同。
圖10在不同離子溶液中磺酸基中的氧原子與水中氫原子的徑向分布函數
圖11磺酸基中的氧原子與不同離子之間的徑向分布函數
3結論
(1)分子動力學模擬可以準確模擬辛基酚聚氧乙烯醚磺酸鹽在油-水界面的界面行為及性能。
(2)辛基酚聚氧乙烯醚磺酸鹽可以大幅降低油-水界面的界面張力。
(3)辛基酚聚氧乙烯醚磺酸鹽中磺酸基為其主要親水基團且疏水鏈尾端碳原子有序性較好。
(4)辛基酚聚氧乙烯醚磺酸鹽在溫度為318~373 K時界面張力隨溫度升高而減小,具有良好的抗高溫性能。
(5)辛基酚聚氧乙烯醚磺酸鹽在Na+濃度為1%~5%的高鹽條件下性質穩定,界面張力僅有小幅增加,并且其對Na+的耐鹽性好于對Ca2+的耐鹽性。





